| Группа 3530901/90101 |
Вариант |
Задание 1 |
Задание 2 |
Задание 3 |
Задание 4 |
Задания 5 и 6 |
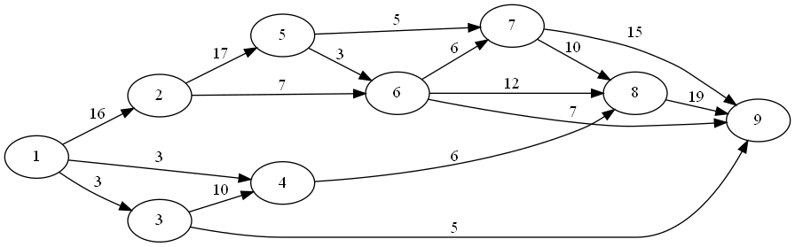
| 1. Балкин Максим | 1 | Граф 54, n = 2, w = 0.5, g = 5%, v = 10% | 1 | 2-1 | 81-1 | 1 |
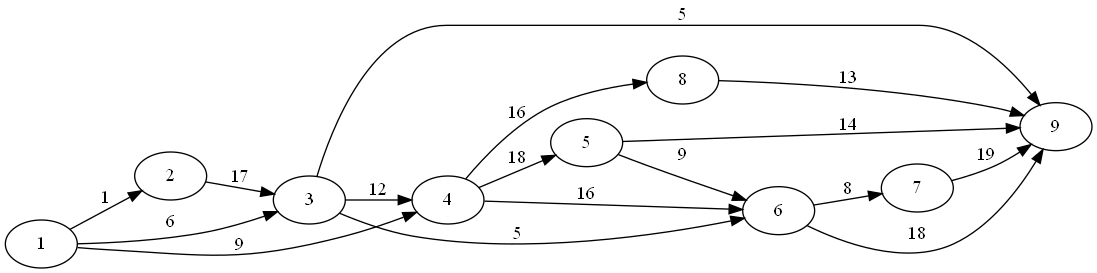
| 2. Бараболенко Артём | 2 | Граф 55, n = 3, w = 0.5, g = 5%, v = 10% | 2 | С-1 | 82-1 | 2 |
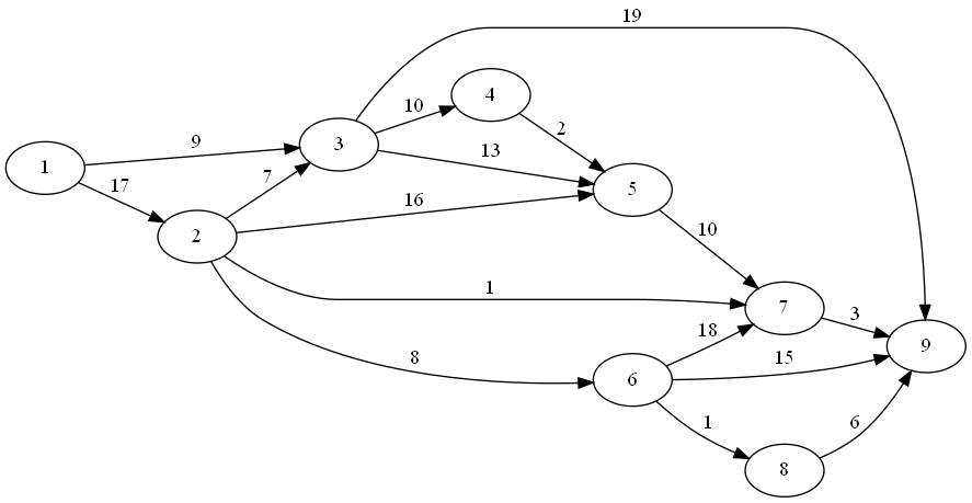
| 3. Бегларян Гарик | 3 | Граф 56, n = 4, w = 0.5, g = 5%, v = 10% | 3 | А17А-1 | 20-1 | 3 |
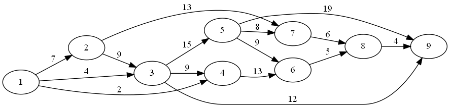
| 4. Белых Борис | 4 | Граф 57, n = 2, w = 0.5, g = 6%, v = 20% | 4 | 2-11 | 83-1 | 4 |
| 5. Виноградов Семён | 5 | Граф 58, n = 3, w = 0.5, g = 6%, v = 20% | 5 | С-11 | 84-1 | 5 |
| 6. Волочковская Маргарита | 6 | Граф 59, n = 4, w = 0.5, g = 6%, v = 20% | 6 | Р14-1 | Т17-643-1 | 6 |
| 7. Гарипова Гульзира | 7 | Граф 60, n = 2, w = 0.6, g = 7%, v = 10% | 7 | 2-12 | Т17-654-1 | 7 |
| 8. Зигангирова Елизавета | 8 | Граф 61, n = 3, w = 0.6, g = 7%, v = 10% | 8 | 2-14 | Т17-655-1 | 8 |
| 9. Ковальчишин Кирилл | 9 | Граф 62, n = 4, w = 0.6, g = 7%, v = 10% | 9 | А17Б-1 | Т17-658А-1 | 9 |
| 10. Кузнецова Дарья | 10 | Граф 63, n = 2, w = 0.6, g = 8%, v = 20% | 10 | 2-4 | Т17-658Б-1 | 10 |
| 11. Курошев Кирилл | 11 | Граф 64, n = 3, w = 0.6, g = 8%, v = 20% | 11 | С-4 | Т17-658В-1 | 11 |
| 12. Мавровасилий Василий | 12 | Граф 65, n = 4, w = 0.6, g = 8%, v = 20% | 12 | Т5-4 | 81-4 | 12 |
| 13. Митин Андрей | 13 | Граф 66, n = 2, w = 0.4, g = 9%, v = 10% | 13 | АС9-6 | 82-4 | 13 |
| 14. Петров Максим | 14 | Граф 67, n = 3, w = 0.4, g = 9%, v = 10% | 14 | 2-6 | 20-4 | 14 |
| 15. Ремнёва Елена | 15 | Граф 68, n = 4, w = 0.4, g = 9%, v = 10% | 15 | С-6 | 83-4 | 15 |
| 16. Сенько Владислав | 16 | Граф 69, n = 2, w = 0.4, g = 10%, v = 20% | 16 | АС9-9 | 84-4 | 16 |
| 17. Сергеев Илья | 17 | Граф 70, n = 3, w = 0.5, g = 9%, v = 20% | 17 | 2-15 | Т17-654-4 | 17 |
| 18. Сергиенко Никита | 18 | Граф 71, n = 4, w = 0.5, g = 6%, v = 20% | 18 | Р14-4 | Т17-655-4 | 18 |
| 19. Сухоруков Глеб | 19 | Граф 72, n = 2, w = 0.6, g = 8%, v = 20% | 19 | 2-10 | Т17-658А-4 | 19 |
| 20. Филиппов Илья | 20 | Граф 73, n = 3, w = 0.6, g = 8%, v = 20% | 20 | С-10 | Т17-658Б-4 | 20 |
| 21. Черепков Данил | 21 | Граф 74, n = 4, w = 0.6, g = 8%, v = 20% | 21 | Т5-1 | Т17-658В-4 | 21 |
| 22. Чупрынин Илья | 22 | Граф 75, n = 2, w = 0.4, g = 9%, v = 10% | 22 | АС9-1 | Т17-643-4 | 22 |
| 23. Шарипов Джалиль | 23 | Граф 76, n = 3, w = 0.4, g = 9%, v = 10% | 23 | 2-13 | 81-7 | 23 |
| 24. Шомов Михаил | 24 | Граф 77, n = 4, w = 0.4, g = 9%, v = 10% | 24 | Р15А-1 | 82-7 | 24 |
| 25. Юрченко Андрей | 25 | Граф 79, n = 2, w = 0.4, g = 10%, v = 20% | 25 | Р15Б-6 | 84-7 | 25 |
| 26. Якубец Никита | 26 | Граф 80, n = 3, w = 0.5, g = 9%, v = 20% | 26 | Р15Б-1 | 81-8 | 26 |
| 27. Тагиров Ильнур | 27 | Граф 81, n = 4, w = 0.5, g = 6%, v = 20% | 27 | Р14-3 | 82-8 | 27 |
| Группа 3530901/90202 |
Вариант |
Задание 1 |
Задание 2 |
Задание 3 |
Задание 4 |
Задания 5 и 6 |
| 1. Андрианов Виталий | 28 | Граф 82, n = 3, w = 0.4, g = 10%, v = 20% | 28 | Р15Б-2 | 81-2 | 28 |
| 2. Аникин Дмитрий | 29 | Граф 83, n = 4, w = 0.4, g = 10%, v = 20% | 29 | 2-17 | 82-2 | 29 |
| 3. Бурьянов Дмитрий | 30 | Граф 84, n = 2, w = 0.5, g = 10%, v = 10% | 30 | Р14-2 | 20-2 | 30 |
| 4. Галиева Регина | 31 | Граф 85, n = 3, w = 0.6, g = 10%, v = 20% | 31 | АС9-2 | 83-2 | 31 |
| 5. Жидков Денис | 32 | Граф 86, n = 4, w = 0.5, g = 10%, v = 10% | 32 | 2-18 | 84-2 | 32 |
| 6. Зотов Максим | 33 | Граф 87, n = 2, w = 0.6, g = 9%, v = 20% | 33 | А17А-2 | Т17-643-2 | 33 |
| 7. Карандина Анна | 34 | Граф 88, n = 3, w = 0.5, g = 9%, v = 10% | 1 | С-2 | Т17-654-2 | 34 |
| 8. Кашутин Андрей | 35 | Граф 89, n = 4, w = 0.4, g = 9%, v = 20% | 2 | 2-2 | Т17-655-2 | 35 |
| 9. Кечин Валерий | 36 | Граф 90, n = 2, w = 0.5, g = 8%, v = 10% | 3 | Т5-5 | Т17-658А-2 | 36 |
| 10. Коренкович Алёна | 37 | Граф 91, n = 3, w = 0.4, g = 8%, v = 20% | 4 | АС9-4 | Т17-658Б-2 | 37 |
| 11. Кривицкий Вадим | 38 | Граф 92, n = 4, w = 0.5, g = 8%, v = 15% | 5 | 2-7 | Т17-658В-2 | 38 |
| 12. Махонько Яна | 39 | Граф 93, n = 2, w = 0.4, g = 7%, v = 15% | 6 | С-7 | 81-5 | 39 |
| 13. Морозов Иван | 40 | Граф 94, n = 3, w = 0.5, g = 7%, v = 15% | 7 | Т5-2 | 82-5 | 40 |
| 14. Плетнев Тимофей | 41 | Граф 95, n = 4, w = 0.4, g = 7%, v = 15% | 8 | 2-9 | 20-5 | 41 |
| 15. Полиенко Артём | 42 | Граф 96, n = 2, w = 0.5, g = 7%, v = 18% | 9 | С-9 | 83-5 | 42 |
| 16. Реймер Ирина | 43 | Граф 97, n = 3, w = 0.4, g = 7%, v = 16% | 10 | АС9-7 | 84-5 | 43 |
| 17. Унтила Артем | 44 | Граф 98, n = 3, w = 0.4, g = 10%, v = 20% | 11 | Р15А-6 | Т17-654-5 | 44 |
| 18. Феофилактов Владислав | 45 | Граф 99, n = 4, w = 0.4, g = 10%, v = 20% | 12 | Р15А-2 | Т17-655-5 | 45 |
| 19. Фетисов Владислав | 46 | Граф 100, n = 2, w = 0.5, g = 10%, v = 10% | 13 | А17Б-2 | 81-9 | 46 |
| 20. Хмаренко Глеб | 47 | Граф 101, n = 3, w = 0.6, g = 10%, v = 20% | 14 | 2-16 | 82-9 | 47 |
| 21. Чемусов Максим | 48 | Граф 102, n = 4, w = 0.5, g = 10%, v = 10% | 15 | А17А-3 | 84-8 | 48 |
| 22. Червак Антон | 49 | Граф 103, n = 2, w = 0.6, g = 9%, v = 20% | 16 | А17Б-3 | 84-9 | 49 |
| 23. Шагова Яна | 50 | Граф 104, n = 3, w = 0.5, g = 9%, v = 10% | 17 | АС9-10 | 81-12 | 50 |
| Группа 3530901/90203 |
Вариант |
Задание 1 |
Задание 2 |
Задание 3 |
Задание 4 |
Задания 5 и 6 |
| 1. Александров Даниил | 51 | Граф 105, n = 2, w = 0.5, g = 6%, v = 10% | 18 | 2-3 | 81-3 | 51 |
| 2. Антунович Павел | 52 | Граф 106, n = 3, w = 0.5, g = 6%, v = 11% | 19 | С-3 | 82-3 | 52 |
| 3. Боровик Дмитрий | 53 | Граф 107, n = 4, w = 0.4, g = 6%, v = 12% | 20 | Р15А-5 | 20-3 | 53 |
| 4. Букреев Евгений | 54 | Граф 108, n = 2, w = 0.4, g = 5%, v = 13% | 21 | Т5-3 | 83-3 | 54 |
| 5. Васильев Алексей | 55 | Граф 109, n = 3, w = 0.5, g = 5%, v = 14% | 22 | АС9-3 | 84-3 | 55 |
| 6. Викторова Дарья | 56 | Граф 110, n = 4, w = 0.5, g = 5%, v = 15% | 23 | Р15Б-5 | Т17-643-3 | 56 |
| 7. Высоцкий Валерий | 57 | Граф 111, n = 2, w = 0.5, g = 4%, v = 16% | 24 | Р15А-3 | Т17-654-3 | 57 |
| 8. Галактионов Игорь | 58 | Граф 112, n = 3, w = 0.6, g = 4%, v = 17% | 25 | Р15Б-3 | Т17-655-3 | 58 |
| 9. Гасилов Дмитрий | 59 | Граф 113, n = 4, w = 0.6, g = 4%, v = 18% | 26 | 2-5 | Т17-658А-3 | 59 |
| 10. Задороцкас Никита | 60 | Граф 114, n = 2, w = 0.5, g = 5%, v = 19% | 27 | С-5 | Т17-658Б-3 | 60 |
| 11. Ивашкин Артем | 61 | Граф 115, n = 3, w = 0.5, g = 5%, v = 20% | 28 | Т5-6 | Т17-658В-3 | 61 |
| 12. Коротких Виктор | 62 | Граф 116, n = 4, w = 0.4, g = 5%, v = 19% | 29 | АС9-5 | 81-6 | 62 |
| 13. Орлов Илья | 63 | Граф 117, n = 2, w = 0.6, g = 7%, v = 18% | 30 | 2-8 | 82-6 | 63 |
| 14. Остапчук Андрей | 64 | Граф 118, n = 3, w = 0.5, g = 7%, v = 17% | 31 | С-8 | 20-6 | 64 |
| 15. Пудов Никита | 65 | Граф 119, n = 4, w = 0.5, g = 7%, v = 16% | 32 | АС9-8 | 84-6 | 65 |
| 16. Руднев Александр | 66 | Граф 120, n = 2, w = 0.4, g = 9%, v = 15% | 33 | 2-19 | Т17-654-6 | 66 |
| 17. Саргсян Эрик | 67 | Граф 121, n = 3, w = 0.6, g = 9%, v = 14% | 1 | Р15А-4 | Т17-655-6 | 67 |
| 18. Сидоров Артем | 68 | Граф 122, n = 4, w = 0.5, g = 9%, v = 13% | 2 | АС9-12 | 81-10 | 68 |
| 19. Тимофеев Кирилл | 69 | Граф 123, n = 2, w = 0.5, g = 5%, v = 12% | 3 | Р15Б-4 | 82-10 | 69 |
| 20. Ундольский Алексей | 70 | Граф 124, n = 2, w = 0.6, g = 7%, v = 18% | 4 | 2-20 | 84-10 | 70 |
| 21. Хомяков Виктор | 71 | Граф 125, n = 3, w = 0.5, g = 7%, v = 17% | 5 | С-12 | 81-11 | 71 |
| 22. Чекулаева Юлия | 72 | Граф 126, n = 4, w = 0.5, g = 7%, v = 16% | 6 | А17А-4 | 82-11 | 72 |
| 23. Шушакова Елизавета | 73 | Граф 127, n = 2, w = 0.4, g = 9%, v = 15% | 7 | А17Б-4 | 84-11 | 73 |
| 24. Янтимиров Тимур | 74 | Граф 128, n = 3, w = 0.6, g = 9%, v = 14% | 8 | АС9-11 | 84-12 | 74 |